核酸药物,潜能释放,中国已成为全球核苷酸原料最大出口国
近年来,核酸药物已成为全球研发和投资的重点领域。相较于在蛋白层面进行疾病干预的传统药物,核酸药物能在遗传信息传递源头发挥作用,因此具有特异性强、基因靶点丰富、疗效持久等优势,且避免传统药物复杂的合成与纯化流程,能显著降低生产成本。
自1953年DNA双螺旋结构被发现以来,核酸药物迄今已有70年发展历史,种类上包括反义核酸(ASO)、小干扰RNA(siRNA)、微小RNA(miRNA)、小激活RNA(saRNA)、信使RNA(mRNA)、适配体(aptamer)、核酶(ribozyme)、抗体核酸偶联药物(ARC)等。除mRNA药物外,基本上其他核酸药物都是由100个以内的核糖核苷酸或脱氧核糖核苷酸单链或双链组成,所以也称为寡核苷酸或小核酸药物。
与mRNA药物编码产生蛋白不同,寡核苷酸药物主要是通过碱基互补配对原则与DNA、mRNA或者pre-mRNA配对,通过基因沉默、非编码RNA抑制、基因激活等一系列机制来调节基因表达。

核酸药物发展时间轴 来源:国信证券
目前,全球共上市17款核酸药物,申请上市的有三款,临床三期、二期、一期的在研管线分别为32款、115款、113款。在全球719款核酸药物中,ASO品种最多(253款),其余为siRNA(229款)、mRNA(72款)。全球投资布局核酸药的领军企业TOP5分别为Ionis(91款)、Alnylam(34款)、simaomics(25款)、arrowhead (24款)、阿斯利康(18款)。

全球上市的17款核酸药物 来源:insights数据库
由于核酸药物中大部分比例为寡核苷酸,因此寡核苷酸成为核酸药物的重要原料,而寡核苷酸是由十几到几十个的核苷酸串联而成,所以核苷单体也是核酸药物的关键性原料。
据QYR预测,2021年全球核苷酸市场(包含寡核苷酸及单体)销售额为5.1亿美元,中国是全球核苷酸最大的生产市场,占比约为55%。当前国内核酸药原料市场规模预计2.8亿美元,此外全球核苷酸市场需求量约为5万吨,国内核苷酸市场年产值约2.75万吨。其中大部分都对外出口,国内用于核酸药物生产的内部消化能力较弱。这与我国核酸类药物生产相比国外仍有较大差距不无关系。因为总体而言,全球核苷酸90%的去处都用作核酸类药物生产,只有10%左右用于保健食品、及农业等领域。
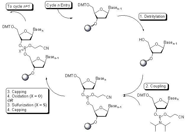
从寡核苷酸原料生产工艺来看,目前上游工艺中合成寡核苷酸的主流方法是固相亚磷酰胺三酯法,其中亚磷酰胺单体与固相载体在核酸合成仪中经过脱保护、耦合、氧化、盖帽等步骤,获得目标碱基序列,即寡核苷酸粗品,之后对粗品进行脱除保护基并从固相载体上切割下来,经过液相色谱对粗品纯度进行初步检测后,再经纯化、超滤、冻干等步骤可得到寡核苷酸原料药中间体。
以DNA引物合成为例,下图展示了固相亚磷酰法合成步骤。在纯化环节,工业上主要有反相色谱法(固相合成—反相色谱纯化—脱三苯甲基化—乙醇沉淀法等—冻干)、离子交换层析法(固相合成—离子交换层析—浓缩/深层过滤—冻干)、疏水层析结合离子交换层析(固相合成—疏水层析—脱三苯甲基化—离子交换—UF/DF—原料药溶液)三种方法,但目前上市的核酸药物大多采用前两种方法进行制备。除了上述的化学合成法外,其他制备核苷酸的方法还有RNA酶解法、微生物发酵法及生物催化法。

图.固相亚磷酰法合成引物 来源:网络公开资料
寡核苷酸和核苷单体是核酸原料药的关键物料,而符合质量要求的合格供应商在全球范围内都较为稀有。这主要源于核酸原料药生产使用固相合成技术,其在工艺开发、工艺放大和质量控制上存在较高壁垒,且核酸原料药固相合成配套设备、洁净环境等前期投入非常大,同时生产需符合国际GMP要求。
国际上为数不多的老牌合格供应商TOP10巨头有Danaher Corporation(1969年成立)、Merck KGaA(1668年成立)、Eurofins Scientific SE(1987年成立)、Thermo Fisher Scientific Inc.(2006年成立)、Agilent Technologies, Inc.(1999年成立)、GE Healthcare(1994年成立)、Kaneka Eurogentec S.A.(1985年成立)、GeneDesign, Inc.(2000年成立)、LGC Biosearch Technologies(1993年成立)、Bio-synthesis Inc.(1984年成立)。
国内能查询到的核苷酸原料药供应商共160家左右,区域分布较为分散,包括陕西43家企业、江苏22家、湖北21家、湖北21家、山东20家、广东 16家、安徽11家、浙江6家、上海6家、河南5家、湖南 5家、天津3家、山西2家。国内寡核苷酸生产企业代表有是广州锐博、合全药业、上海兆维等。
广州锐博
广州锐博是国内知名的寡核酸原料药CDMO公司,2013年率先在中国建立了大规模寡核酸cGMP制造车间,2016年获得CFDA颁发的寡核酸原料药生产许可证,也是迄今唯一一家获得该证的本土企业。2018年完成建设寡核酸cGMP生产基地,该基地面积超过20,000平方米,其中生产车间规划2,700平方米,无菌灌装和成品车间2,500平方米,并于2019年中启用单批次1.8mol规模合成车间,纯化量达到4,000L/h以及1kg至40kg级的冻干车间,能满足千克级以上寡核酸原料药的商业化生产需求,还提供从工艺验证、分析方法、质量保证及风险管理的服务和保障。
合全药业
合全药业于2020年宣告其寡核苷酸原料药公斤级生产车间正式投入运营,该生产车间面积为2800平方米,其寡核苷酸平台能够支持各种类型的寡核苷酸产品,如脱氧核糖核酸(DNA),核糖核酸(RNA)和吗啉代反义寡核苷酸(PMO)以及多肽共轭的吗啉代反义寡核苷酸(PPMO)等。今年7月,合全药业位于常州原料药研发及生产基地的又一全新寡核苷酸及多肽生产大楼也投入运营,生产大楼包括面积为2,840平方米的寡核苷酸生产车间。投产后,合全药业将拥有4条公斤级大规模寡核苷酸生产线,以及20余条小规模和中等规模生产线,单次寡核苷酸合成的最大总规模将从1.9mol上升至6.0mol。
兆维生物
兆维生物成立于2001年,是中国较早从事研发和生产核苷、修饰性核苷的企业之一,于2008年通过ISO9000质量管理体系认证。公司专注于核苷及核苷酸产品领域,生产和销售修饰性核苷、核苷酸、亚磷酰胺基因单体、靶向示踪剂和生物酶等各个系列产品。兆维生物作为全球体量较大的寡核苷酸和基因单体生产企业,目前用于核酸疫苗的mRNA可以达到70亿剂,2021年总产值达15亿。2022年7月,兆维生物投资25亿元的小核酸药物研发生产基地落户上海杭州湾。从全球来看,核苷酸原料总体供不应求,依然属于全球紧缺产品。随着未来核酸药物临床潜能逐渐释放,今后势必将带动相关原料持续增长,未来前景良好。作为国内企业,应着力解决创新核酸药的技术研发,增大自产自销能力,及早成长为与国际巨头比肩的核酸药龙头企业。
参考来源:
1、寡核苷酸纯化,该怎么办?汉邦科技官网 20220413
2、核苷酸生产工艺及展望
3、TOP 10 COMPANIES IN OLIGONUCLEOTIDE SYNTHESIS MARKET,METICULOUS RESEARCH,20220105
4、基因药物系列(一)——小核酸药物,中关村产业研究院,20220410
